Journal of the Korean Society for Aviation and Aeronautics
The Korean Society for Aviation and Aeronautics
Original Article

국내선 항공기 운항 데이터를 활용한 항공기 연결시간 분석 연구

박다영*, 조현수**
Dayeong Park*, Hyunsoo Cho**
*한국항공대학교 미래항공교통학과 석사과정
**한국공항공사 항공산업연구원 선임연구원
연락저자 E-mail : hs.cho@airport.co.kr 연락저자 주소 : 서울시 강서구 하늘길78

© Copyright 2026 The Korean Society for Aviation and Aeronautics. This is an Open-Access article distributed under the terms of the Creative Commons Attribution Non-Commercial License (http://creativecommons.org/licenses/by-nc/4.0/) which permits unrestricted non-commercial use, distribution, and reproduction in any medium, provided the original work is properly cited.

Received: Feb 26, 2026; Revised: Mar 03, 2026; Accepted: Mar 06, 2026

Published Online: Mar 31, 2026

ABSTRACT

This study analyzes the key factors behind improvements in domestic on-time performance following the strengthening of delay management standards in 2023 and the introduction of the Route-Specific Scheduled Block Time Guideline in 2024. Analysis of operational data from 2023–2025 shows that delay mitigation resulted from domestic capacity adjustments driven by expanded international operations and more realistic scheduled flight times. In particular, extended block times on Gimpo-origin routes reduced delay risk, while turnaround time (TAT) remained largely unchanged before and after implementation. Consequently, actual TAT exceeded planned values at all analyzed airports, indicating that additional flight-time buffers were insufficient to absorb ground-operation variability. Future on-time performance policies should therefore integrate schedule optimization with airport-specific TAT alignment.

Keywords: Flight Delay Management(항공 지연 관리); Turnaround Time(항공기 연결시간); Reactionary Delay(연결 지연); Operational Data Analysis(운항 데이터 분석); On Time Performance(운항 정시성)

I. 서 론

1.1 연구 배경

과거 항공운송 분야는 여객 및 화물운송에만 초점을 맞추었으나, 운항 편수의 급격한 증가와 공항 및 공역 혼잡 가중으로 인해 정밀한 운영 관리가 요구되기 시작하였다. 이에 국제민간항공기구(ICAO)는 Global Air Navigation Plan(GANP), Aviation System Block Upgrade(ASBU) 계획 등을 발간하였고, 세부 시스템으로 협동운항관리시스템(ACDM), 출발/도착관리시스템(DMAN/AMAN), 항공기 궤적기반운영(TBO) 등과 같은 항공기를 시간적인 관점에서 관리하거나, 항공기 흐름관리를 위한 항공교통통제센터(ATCC)를 운영하게 되었다.

지연 관리는 특정 시점에서 발생한 지연이 공역 전체 혼잡으로 전이될 수 있다는 전제하에 이를 계획 단계에서부터 선제적으로 완화시키기 위해 수행한다. 이러한 국제적 흐름에 발맞추어 국내 항공기의 지연 관리 기준 역시 강화되었다.

과거 국내선 항공편의 정시성 기준은 활주로 이·착륙 기준으로 국내선 30분, 국제선 60분 초과로 산정하였으나, 2023년부터 우리나라는 ICAO와 유럽 등의 국제 통용 기준인 국내선·국제선 모두 주기장 출·도착 15분 초과 항공편을 대상으로 동일하게 적용하고 있다(Kim et al., 2025).

지연 기준이 강화된 이후 3년간 국내선 지연율은 2023년 23.8%, 2024년 22.2%, 2025년 20.4%로 감소 추세에 있다. 지연이 감소되는 원인은 항공교통량 감소, 운항스케줄과 동일한 실제 운영, 공항 혼잡 완화, 정비 이슈 감소, 악기상 발생 건수 감소 등 다양하다. 그 중에서도 과거 대비 계량적인 효과로 볼 수 있는 점은 국토교통부에서 연결편 지연 감소 및 지연 관리를 위한 국내 노선별 예상 운항 시간 가이드라인을 항공사에게 제안하여 2024년부터 하계 사업계획에 반영한 것이다. 이에, 연도별로 대부분의 항공사 지연이 감소한 것을 확인할 수 있다(Fig. 1).

jksaa-34-1-137-g1
Fig. 1. Flight delay rates by airline (출처: 한국공항공사, 통합운항정보시스템(iFIS)의 운항기초자료(2023~2025) 기반으로 재구성)
Download Original Figure
1.2 연구 범위

시간적 범위는 국내 항공기 지연 관리 체계가 개정된 2023년부터 2025년도까지 총 3개년 데이터를 분석 대상으로 설정하였으며, 공간적 범위는 국내선을 운항하는 항공사 및 한국공항공사가 운영·관리하는 14개 공항을 대상으로 한다. 내용적 범위는 전국 국내선 운항편을 대상으로 하나, 국제선과 연결성을 지닌 환승 전용 내항기는 제외한다.

특히 지연율 개선의 주요 요인을 정밀하게 분석하기 위해 분석 대상 범위를 출발 지연으로 한정하였다. 이는 도착 지연이 관제 분리 간격이나 기상의 변화 등 항공사가 통제하기 어려운 외적 요인의 영향을 크게 받는 반면, 출발 지연은 지상 조업, 연결편 지연, 항공기 정비 등 항공사의 운항 관리 공정과 밀접한 관련이 있다는 선행 연구의 분석에 근거한다(Kim et al., 2019).

1.3 연구 목적

본 연구는 2025년 국내선 지연율 개선 현상에 주목하여, 항공기 연결시간(turnaround time)이 지연율 변화에 미친 영향을 실증적으로 분석하는 것을 목적으로 한다. 이를 통해 공항 운영 효율성 측면에서 TAT 역할을 규명하고, 지연이 개선되어야 하는 방향을 제시하고자 한다. 분석을 위해 2023년부터 2025년까지의 한국공항공사 국내선 운항 실적 자료와 항공정보포털시스템 항공통계 자료를 활용하여 계량적 분석을 수행한다.

II. 본 론

2.1 용어의 정의

국토교통부(2024) 항공통계 작성 메뉴얼에 따르면 ‘지연’은 국내공항 주기장(탑승게이트) 출발⋅도착시간이 비행 계획으로 제출한 출발⋅도착시간보다 15분을 초과한 경우를 의미하며 ‘지연율’은 정기 운항 여객기 전체 운항편수 대비 지연 편수의 비율을 말한다. ‘지연 시간’은 국내공항 주기장(탑승게이트) 실제 출발⋅도착시간과 계획된 출발⋅도착시간의 차이를 의미한다.

일반적으로 항공기는 운항시간을 기준으로 단일 편을 생각하는 경우가 많지만, 실제 항공기는 하루동안 여러 항공편명으로 운항하게 된다. 이를 세부적으로 구분한다면, 항공편과 항공편 사이에는 블록타임(block time, B/T)이라는 비행시간과 그라운드타임(ground time, G/T) 또는 턴어라운드타임(turnaround time, TAT)이라는 이륙 준비 시간이 있다(Lee et al., 2022).

본 연구에서는 이전 항공기가 정시 또는 조기 도착했음에도 불구하고, 해당 공항에서의 문제로 지연 출발한 비율을 ‘지연 발생율’, 이전항공기가 지연 도착하였으나 해당 공항에서 지연 시간의 일부 또는 전부를 만회하여 출발한 비율을 ‘지연흡수율’, 식 (1)과 같이 TAT의 편차가 양의 값을 갖는 비율을 ‘계획TAT 초과율’이라고 정의하여 활용하였다.

T A T ( A C T U A L T I M E ) T A T ( P L A N T I M E ) > 0
(1)
2.2 국내 정기편 운항관리

국내 정기편 운항 관리를 위해 정부는 그간 실제 운항 소요 시간을 적절히 반영하지 못해 고질적인 지연의 원인으로 지목되어 온 국내 사업계획의 한계를 극복하고자 실제 운항 결과 분석을 토대로 노선별 예상 운항 시간 가이드라인을 수립하여 2024년 하계 스케줄부터 적용하였다. 이에 따라 항공사와 운항편별로 상이하게 적용하던 운항시간이 실제 운항 결과를 반영하여 정시도착이 개선되는 효과가 발생하였다.

하지만 이러한 정책적 노력에도 불구하고 2025년 국내 공항별 지연 요인을 분석하면 여전히 ‘연결 지연’이 압도적인 비중을 차지하고 있다. 실제로 제주공항(80.4%), 김포공항(75.3%), 김해공항(63.3%) 등 주요 거점 공항의 지연 사유 중 연결 지연 비율은 매우 높게 나타난다.

Kim et al.(2020)에 따르면 실제 TAT는 계획 TAT 대비 일정 시간 이상 더 소요되며, 반대로 실제 비행시간은 계획 비행시간 대비 일정 시간 적게 소요된다. 이러한 특성에도 불구하고 현행 가이드라인은 주로 비행 시간의 현실화에 중점을 두고 있어 항공기가 착륙 후 재이륙하기까지 필요한 TAT 관리 기준이 미비한 실정이다.

TAT에 대한 기준을 확인하기 위해 국내 저비용항공사(LCC)의 지상 공정관리 규정을 살펴보면, 선행항공기와 후행항공기가 국내선과 국제선을 운항하는 조합과 항공기 기종에 따라 TAT 시간이 달라진다. 선행항공기와 후행항공기 모두 국내선을 운항하는 C급 항공기의 TAT 기준은 35분 내외로 규정하는 것을 항공사 담당자 인터뷰를 통해 확인하였다. 이것은 정상적으로 지상조업 및 승객의 탑승·하기하는 경우 가능하지만, 조업 중 발생하는 비확실성 문제나 승객의 탑승 과정이 원활하지 않을 경우에는 주어진 시간이 부족할 수도 있다. 결과적으로 비행계획 시간이 증가하더라도 지상 공정에 필요한 TAT가 전체 운항 정시성에 영향을 미칠 가능성이 있음을 알 수 있다.

2.3 운항데이터 분석 및 공급 변화

2023–2025년 운항 실적을 분석한 결과, 국제선은 약 41.1만 편에서 약 54.9만 편으로 증가하였으나 국내선은 약 19.1만 편에서 18.2만 편으로 축소되었다. 이러한 국내선 공급 축소는 교통량 부하를 완화하여 지연 발생의 물리적 확률을 낮추는 환경을 조성한 것으로 해석된다.

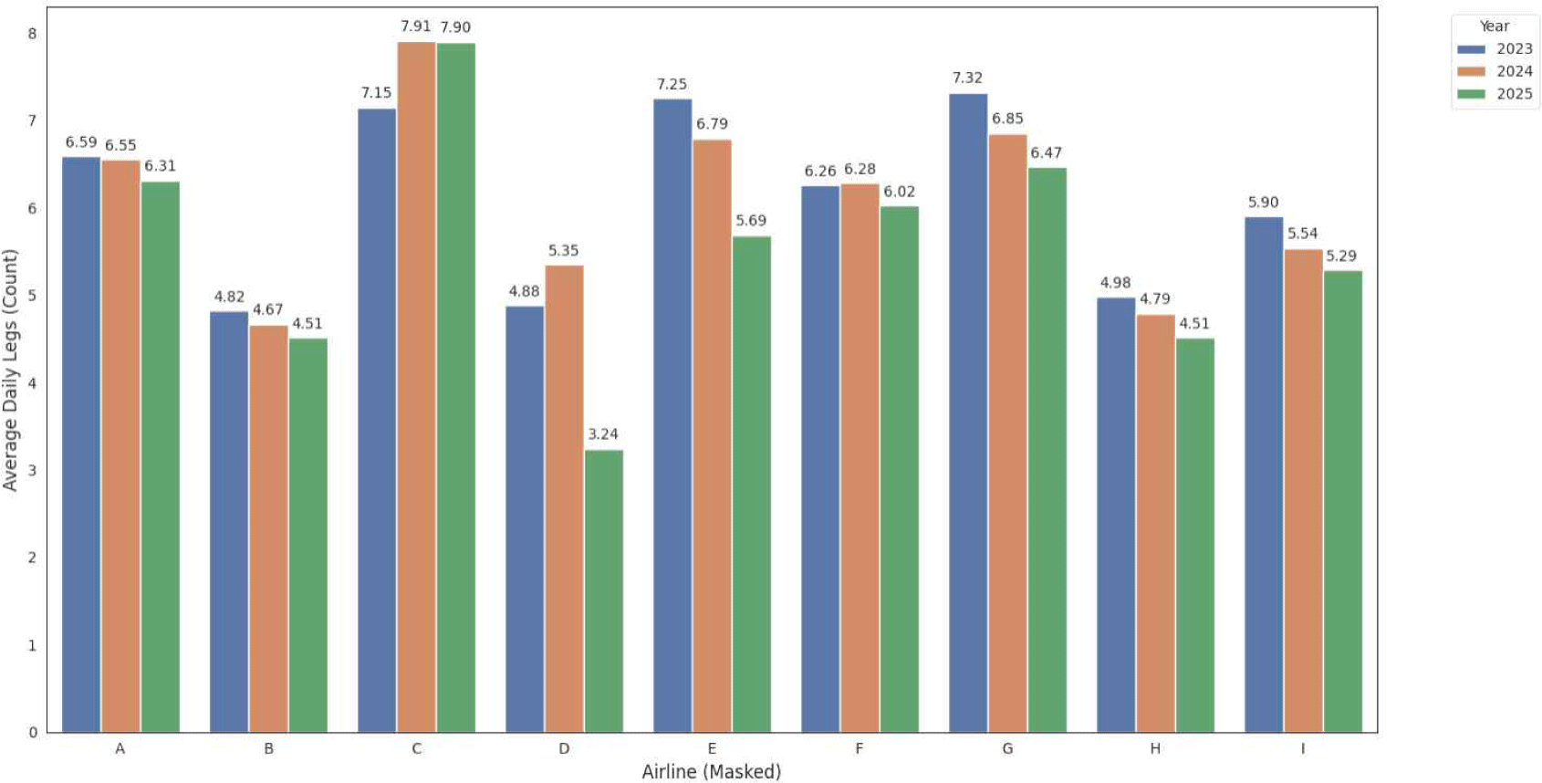
Yoon et al.(2025)에 따르면 항공기 운항은 여러 번의 운항Leg로 이루어지며, 하루 동안 노선을 왕복으로 운항하므로 선행 항공기의 정시성이 후행 항공기에 영향이 미친다. 이에 대부분 항공사에서 일일 운항Leg 수가 감소하여 기재 운용상의 시간적 여유가 확대되었고, 선행편 지연이 후속편으로 전이될 가능성이 완화된 것이 요인으로 분석된다.

이러한 지연율 개선은 특정 항공사에 국한되지 않고 업계 전반에서 공통적으로 관찰되는데 이는 ’24년 하계 스케줄부터 시행된 정부의 '노선별 예상 운항 시간 가이드라인'이 영향을 미친 결과로 해석된다. 정부 정책에 따른 계획 비행시간의 현실화가 전반적인 정시성 지표를 상향 평준화시킨 것이다.

그러나 C, E, F, G 등 일부 항공사는 여전히 업계 평균을 웃도는 지연율을 기록하고 있다. 이는 해당 항공사들이 단일 기재당 높은 운항 레그, 임계치에 가까운 짧은 TAT 유지 등 운영상의 특성에 기인한 것으로 판단된다(Fig. 2).

jksaa-34-1-137-g2
Fig. 2. Daily flight legs by airline (출처: 한국공항공사, 통합운항정보시스템(iFIS)의 운항기초자료(2023~2025) 기반으로 재구성)
Download Original Figure
2.4 계획/실제 비행시간 및 TAT 비교

비행시간은 정부의 국내 노선별 예상 운항 시간 가이드라인을 적용하므로, 김포-제주 노선의 계획 시간 경우 23년 65~70분, 24년 70분, 25년 75분으로 점차 증가되었다. 이 결과 평균 비행시간에서 버퍼 시간이 추가되어 비행 중 해당 공역의 혼잡이나, 지연 출발이 발생하는 경우에도 정시 도착이 가능하게 된다.

F L I G H T S C H E D U L E T I M E = A C T U A L T I M E + B U F F E R T I M E
(2)

계획 비행시간이 뚜렷한 증가세를 보인 것과 달리, 계획 TAT는 최근 3년간 변화가 미미하다. 계획 TAT는 2023년 대비 2025년 평균 변화의 폭이 김포공항은 1.7분 감소, 제주공항은 1.52분 증가, 김해공항은 1.21분 감소에 그쳐 대부분 1분 내외의 수준에서 현상을 유지하였다. 특히 비행시간 조정에 따라 김포공항의 계획TAT가 감소한 점은 TAT가 부족한 문제로 발생하는 연결지연을 오히려 유발했다. 2025년 기준 김포공항은 5.42분 초과, 제주공항은 6.13분 초과, 김해공항은 3.10분 초과로 분석 대상 공항 모두에서 실제 TAT가 계획된 시간보다 더 길게 소요되었다(Table 1). 항공사별 TAT 전략에 따라 지연관리가 상이하다. A 항공사는 높은 운항레그에도 여유 있는 TAT로 지연을 관리하는 반면, C, F, G는 짧은 계획 TAT와 높은 운항레그로 평균 이상 지연율을 기록한다.

Table 1. Comparison of planned vs. actual TAT for three major domestic airports (average)
Airport Year (2023) Year (2024) Year (2025)
Planned time Actual time Planned-actual Planned time Actual time Planned-actual Planned time Actual time Planned-actual
GMP 49.52 51.48 -1.96 49.29 51.72 -2.43 47.82 53.25 -5.42
CJU 47.57 52.31 -4.74 47.35 52.44 -5.08 49.09 55.23 -6.13
PUS 43.87 44.97 -1.11 42.93 44.41 -1.48 42.65 45.75 -3.10
Download Excel Table

시간대별 TAT 분석에서 2025년 김포의 경우 조기 도착 경향으로 실제 TAT가 증가하였고, 13–16시 피크(15시)에는 계류장 혼잡으로 조기 도착항공기의 수용이 힘들어지며 정시 배정 가능성이 높아 실제/계획이 수렴하였다는 사실을 김포 계류장 관제사 인터뷰를 통해 확인할 수 있었다(Fig. 3). 연결편 지연 감소를 위한 비행시간 증가는 오히려 도착 공항에 조기 도착하는 현상을 초래하여 공항의 혼잡을 유발하므로, 비행시간보다 TAT 증가를 고려해야 한다. 제주공항은 계획TAT는 증가하는 추세가 있지만, 실제 TAT가 유사한 이유는 국내 공항 중 가장 혼잡한 공항이므로, 항공사가 최단 시간을 머무는 전략으로 판단된다. 김해공항은 시간대별로 계획 및 실제 TAT시간의 변화 폭이 많지만, 계획과 실제간 차이가 미미한 것으로 확인된다. 또한, 3개 공항에서 공통적으로 나타나는 7시와 21시, 22시부터 TAT 시간이 증가 또는 감소하는 이유는 해당 시간에 운항하는 항공편의 감소로 특정 값으로 수렴하는 원인으로 확인된다.

jksaa-34-1-137-g3
Fig. 3. Comparison of planned vs. actual TAT by major airports and time slots
Download Original Figure

기종별 조업 특성 차이와 소요 시간이 다른 것을 고려하여 국내 운항편의 대부분을 차지하는 C급 기종을 대상으로 계획 TAT 초과율을 분석하였다. 동일한 구간을 운항하지만 계획 비행시간이 증가함에 따라 2025년 TAT 시간이 2023년과 2024년 대비 증가하게 되었고, 결국은 항공기가 공항에서 머무는 시간이 더욱 증가하였다. 이것은 항공기가 계획 TAT 시간보다 더 많은 시간을 지상에서 머무는 것으로 확인되며, TAT 초과율도 과거대비 증가하였다. 또한, 비행시간이 계획 TAT 초과율 분석 결과 TAT 증가 시 초과율 감소가 확인되었으며, 김포, 제주는 40분, 김해는 35분 지점에서 초과율이 급격하게 감소하였다. 이는 공항별 TAT 차별화 필요성을 시사한다(Fig. 4).

jksaa-34-1-137-g4
Fig. 4. Planned TAT exceedance rate for C-class aircraft by airport
Download Original Figure

III. 결 론

본 연구 결과 2023년부터 2025년까지 국내선 지연율 개선은 국적사 기재의 국제선 우선 투입 확대에 따른 국내선 공급 축소와 정부 가이드라인에 따른 계획 비행시간 확대라는 시간 자원 투입 전략의 결과로 확인되었다. 그러나 비행시간은 실제 시간 분석 결과를 통해 현장에 반영되었으나, 도착비행시간보다 일찍 도착함에 따라 실제 TAT시간이 증가하는 불균형을 야기시켰으며, 이러한 불균형으로 주기장 체류시간 연장과 공항 혼잡의 유발로 초래하게 된다.

따라서 현재의 지연율 개선은 실효적 운영 효율화가 아닌 것으로 판단되며, 향후 정시성 제고 정책은 비행 구간뿐 아니라 공항별 최적 TAT 정합성 확보하는 방향으로 보완되어야 한다.

Acknowledgement

본 연구는 국토교통과학기술진흥원(KAIA)에서 공고한 국토교통 DNA 플러스 항공분야 융합기술대학원(RS-2022-00155987) 과제를 수행하는 한국항공대학교와 한국공항공사(KAC) 항공산업연구원에서 공동으로 수행하였습니다.

References

1.

Kim, M, H., Kang, D. W., Shon, J. W., and Kim, S. Y., "A study on an air transportation data analysis system to improve flight reliability", Korea Transport Institute, 2025.

2.

Kim, H. Y., Yoon, J. S., Song, H. Y., and Baik, H. J., "A study on measuring airlines' on-time performance: Focusing on departure delays", Journal of Transport Research, 26(3), 2019, pp.1-12.

3.

Civil Aviation Office, "Aviation Statistics Compilation Manual", Ministry of Land, 2024.

4.

Lee, C. S., Kim, D. S., Kim, H. W., and Baik, H. J., "Correlation analysis between delay and turnaround time at Jeju International Airport", Journal of the Korean Society for Aviation and Aeronautics, 30(1), 2022, pp.1-11.

5.

Kim, M. H., Park, S. W., and Bae, J. H., "Flight delay and cancellation analysis and management strategies", Korea Transport Institute, 2020.

6.

Yoon, H. J., Cho, H. S., Park, J. W., and Ku, S. K., "Predicting flight punctuality based on operational pattern of aircraft", Journal of the Korean Society for Aviation and Aeronautics, 33(2), 2025, pp.135-140.