Journal of the Korean Society for Aviation and Aeronautics
The Korean Society for Aviation and Aeronautics
Original Article

계절 변화에 따른 국내 자가용 조종사의 훈련 수행시간 비교 연구: 하계 및 동계기간을 중심으로

이재현*, 김종민*, 최연철**
Jaehyeon Lee*, Jongmin Kim*, Younchul Choi**
*한서대학교 일반대학원 항공운항관리학과 박사과정
**한서대학교 항공인재개발원 원장
연락저자 E-mail : pilot@hanseo.ac.kr, 연락저자 주소 : 서울 중구 퇴계로20길 1-5

© Copyright 2026 The Korean Society for Aviation and Aeronautics. This is an Open-Access article distributed under the terms of the Creative Commons Attribution Non-Commercial License (http://creativecommons.org/licenses/by-nc/4.0/) which permits unrestricted non-commercial use, distribution, and reproduction in any medium, provided the original work is properly cited.

Received: Dec 24, 2025; Revised: Jan 14, 2026; Accepted: Mar 29, 2026

Published Online: Mar 31, 2026

ABSTRACT

This study aimed to examine how daily total flight time differs between summer and winter seasons and to identify the seasonal characteristics of pilot workload and training availability. Operational flight log data from domestic commercial flights were aggregated to calculate daily total flight time, with July–October defined as summer and November–February as winter. Daily total flight time was summarized by season, and homogeneity of variance was first assessed using an F test. The result indicated significantly different variances between the two seasons (F(91, 87)=1.74, p=0.010); therefore, Welch’s t-test, which does not assume equal variances, was used to compare the seasonal means. The mean daily total flight time was 10.34±4.93 hours in summer and 8.53±3.74 hours in winter, and the difference was statistically significant (t(169.35)=2.78, p=0.006). These findings suggest that flight operations are more concentrated in summer, potentially increasing pilot workload and fatigue, whereas the relatively lower daily flight time in winter may provide a more favorable environment for scheduling pilot training and rest.

Keywords: Private Pilot Training(자가용 조종사 훈련); Seasonal Variation(계절 변동); Daily Total Flight Time(일별 총 비행시간); VisuaL Flight Rules(시계비행규칙); Flight Plan(비행 계획)

Ⅰ. 서 론

1.1 연구 배경 및 필요성

우리나라는 북위 33도에서 38도 사이의 중위도 지역에 위치하여 사계절 변화가 뚜렷하고, 태양의 적위(declination) 변화에 따른 일조시간의 연간 변화가 뚜렷하다(Forsythe et al., 1995). 여름철에는 일출이 빨라지고 일몰이 늦어 비행 가능 시간이 상대적으로 길어지는 반면, 겨울철에는 일출이 늦고 일몰이 빨라 비행 가능 시간이 크게 제한된다. 우리나라와 같이 사계절의 기후 변동이 뚜렷한 환경에서는 일조시간, 기상 상태, 결빙 가능성 등 계절적 요인에 따라 실제 확보 가능한 비행시간이 크게 달라질 가능성이 있다. 또한 이러한 계절적 특성은 관측기상, 항공기 운용 시간, 교관 및 학생의 스케줄 등 비행훈련 전반에 직접적인 영향을 미친다.

특히 자가용 조종사 훈련과정은 시계비행규칙(visual flight rules, VFR) 위주로 비행교육이 진행되므로, 일일 비행가능시간이 짧아지는 겨울철에는 동일한 교육 목표를 달성하기 위해 더 촘촘한 일정 관리와 효율적인 자원 배분이 요구된다(MOLIT, 2018). 그러나 실제 훈련 현장에서는 연간 목표 비행시간을 기준으로 단순히 월별·주별 계획을 균등 배분하는 경우가 많으며, 계절에 따른 일별 실제 비행 수행량의 차이를 정량적으로 분석하여 훈련계획에 반영한 연구는 제한적이다.

본 연구는 국내 비행교육기관의 비행기록 자료를 이용하여 일별 총 비행시간을 산출하고, 이를 하계(7월∼10월)와 동계(11월∼2월)로 구분하여 계절별 일별 총 비행시간의 수준과 분포를 비교·분석하고자 한다. 또한 월별 평균 일별 총 비행시간을 산출함으로써 비행훈련이 집중되는지, 상대적으로 제한되는지를 파악하고자 한다. 이러한 분석 결과는 연간 훈련계획 수립 시 계절성과 월별 패턴을 반영한 현실적인 비행시간계획을 지원하는 자료로 활용될 수 있을 것으로 기대된다.

1.2 연구 목적

본 연구의 목적은 계절 변화에 따른 일조시간 차이로 인해 자가용 조종사 학생들의 1일 평균 비행훈련 시간의 차이를 실증적 데이터를 통해 규명하는 것이다. 이러한 목적을 달성하기 위해 자체 활주로를 보유한 국내 민간 전문교육기관의 운항 데이터를 활용하여 다음의 연구 문제를 설정하고 이를 검증하고자 하였다.

연구문제: 하계(7월∼10월)와 동계(11월∼2월) 간 일별 총 비행시간은 유의미한 차이가 있을 것이다(95% 신뢰수준).

Ⅱ. 연구 방법

2.1 자료 수집 및 데이터셋 구조

본 연구는 국내에서 자체 활주로를 보유한 민간 비행교육기관에서 수행된 자가용 조종사 훈련생에 대한 비행기록을 분석하였는데 연구에 분석자료의 시간적 범위는 2020년 7월 1일부터 2021년 2월 28일까지이며, 조종훈련학생 12명이 각각 4개월에 6명씩 8개월 동안 자가용 비행훈련을 실시하였던 자료를 분석에 활용하였다.

Date는 비행 날짜가 연-월-일 단위로 기록되어 있으며, time 변수는 해당 비행의 소요시간이 0.1시간 단위, season 변수는 계절을 하계(summer season)와 동계(winter season)로 구분하여 기록하였다.

2.2 계절의 재정의

비행 단위별 데이터의 일별 비교 분석을 위해 최초 데이터(raw data)를 일별 집계 데이터(daily aggregated data)로 변환하였다. 또한, 계절 변화를 구분하여 분석하기 위해, 2020년 7월 1일부터 2021년 2월 28일까지의 8개월을 각각 4개월씩 구분하여 7월 1일에서 10월 31일까지의 4개월은 하계(summer season), 11월 1일부터 2021년 2월 28일까지의 4개월은 동계(winter season)로 구분하여 재정의하였다. 즉, 계절에 대한 조작적 정의는 항공기상청에서 발표하고 있는 자료 가운데 무안공항지역을 대상으로 표본을 확보하였다. 이 가운데 일조시간이 상대적으로 큰 차이를 보이는 11시간 49분∼14시간 28분의 구간을 하계로 09시간 51분∼10시간 35분의 구간을 동계기간으로 설정하였다.

2.3 일조시간 및 비행제한 요소

중위도에 위치한 한국의 일출·일몰 차이가 계절에 따른 차이가 전체적인 훈련시간에 대비한다면 상대적으로 작게 느껴질 수 있으며 실제 비행훈련 현장에서는 자연조건 가운데 일조 조건보다는 기상 현상 등이 더 높은 비증을 나타낸다고 볼 수 있다. 그러나 기상과 비행의 연계성과 관련된 연구(Winter et al., 2020) 등에서는 비행기량이 높은 조종사는 기상 위험성이 높더라도 비행을 진행하지만 상대적으로 낮은 조종사의 경우 비행을 중단하는 경향이 높으므로 기상이 비행시간에 미치는 영향은 모호하지만 조종교육생의 경우 교관들이 기상 등 제약요소를 고려하여 비행시간을 조정하므로 비행훈련시간 산출에 있어서 교육생·교관의 근무 및 휴식시간, 정비시간 및 기상 현상 등의 요소를 배제하고 계절별 훈련시간을 적용하였다.

2.4 분석 방법

하계와 동계의 일별 비행시간의 평균 차이를 검정하기 위해 t-test를 수행하였고, 통계 프로그램은 R 소프트웨어 2024.12.0 버전을 활용하였다.

계절별 일별 총 비행시간의 기본 특성을 파악하기 위해 하계와 동계 각각에 대해 평균, 표준편차, 중앙값, 최소값, 최대값을 산출하였다(Table 1). 그리고 하계와 동계 간 일일 총 비행시간의 차이가 통계적으로 유의한지를 확인하기 위해 Welch 두 표본 t-검정을 실시하였으며, 검정 결과는 Table 2에 제시하였다.

Table 1. Descriptive statistics of daily total flight
Season N_days Mean SD Median Min Max
Summer 92 10.34 4.93 10.75 0.4 18.4
Winter 88 8.53 3.74 9.3 0.8 15.9
Download Excel Table
Table 2. Welch t-test comparing mean daily total flight time between summer and winter
Variable Summer N=92 Winter N=88 p-value
Flight time 10.34±4.93 8.53±3.74 0.006**
Welch’s t-test t(169.35)=2.78, 95% CI for mean difference (summer–winter): 0.53 to 3.09 h

Note. Values are presented as mean ± SD.

p<.01.

Download Excel Table

또한, 월별 평균 및 일별 총 비행시간을 산출하여(Table 3), 2020년 7월부터 2021년 2월까지의 월별 패턴을 막대그래프로 시각화하였다(Fig. 3).

Table 3. Monthly mean daily total flight time
Season Month N Mean SD Sunrise Sunset Sunshine duration
Summer Jul 19 5.8 4.7 05:24 19:52 14h 28m
Aug 25 11.1 4.3 05:44 19:37 13h 53m
Sep 23 11.7 4.2 06:07 19:01 12h 54m
Oct 25 11.7 4.5 06:29 18:18 11h 49m
Winter Nov 23 8.1 3.5 06:55 17:40 10h 35m
Dec 26 7.9 3.9 07:24 17:23 09h 59m
Jan 21 8.7 3.6 07:42 17:33 09h 51m
Feb 18 9.7 3.9 07:34 18:02 10h 28m
Download Excel Table

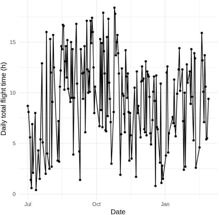
일별 총 비행시간의 시계열 변화를 보여주는 그래프(Fig. 2)와 하계・동계 간 분포를 비교하는 박스플롯(Fig. 1)을 작성하여, 계절적・시간적 패턴을 직관적으로 검토하였다. 시각화는 R의 ggplot2 패키지를 이용하여 수행하였다.

jksaa-34-1-233-g1
Fig. 1. Distribution of daily total flight time
Download Original Figure
jksaa-34-1-233-g2
Fig. 2. Daily total flight time over the observation period
Download Original Figure

Ⅲ. 연구 결과

3.1 계절별 일별 총 비행시간의 기술통계

Table 1과 같이, 하계 일별 총 비행시간의 평균은 10.34시간, 표준편차는 4.93시간이었으며, 중앙값은 10.75시간으로 나타났다. 기간 중 일별 총 비행시간은 최소 0.4시간에서 최대 18.4시간까지로, 일부 기간에는 비행이 집중되는 현상이 관찰되었다. 반면, 동계기간의 일별 총 비행시간에 대한 평균은 8.53시간, 표준편차는 3.74시간, 중앙값은 9.30시간으로 나타났으며, 0.8∼15.9시간 사이에 분포하였다. 전반적으로 동계에는 하계에 비해 평균 비행시간이 적으며, 변동 폭도 다소 작은 특징을 보였다.

3.2 하계와 동계 간 평균 차이에 대한 검정

하계와 동계의 일일 총 비행시간의 평균을 비교를 하기 이전에 등분산 여부를 확인하기 위해 F 검정을 시행한 결과, 계절 간의 분산은 통계적으로 유의한 차이를 보였다(F(91, 87)=1.74, p=0.010). 이에 따라 두 집단 간 분산이 동일하지 않은, 즉, 등분산을 가정하지 않는 Welch t-검정을 사용하여 하계와 동계의 일일 총 비행시간 평균을 비교하였다.

Table 2와 같이 하계와 동계의 일별 총 비행시간 평균은 각각 10.34시간과 8.53시간으로, 하계가 동계보다 일일 평균 1.81시간 더 많은 것으로 나타났다. Welch t-검정의 t 통계량은 2.78, 자유도는 169.35로 산출되었으며, p값은 0.006 수준으로 나타났다. 따라서 “하계와 동계의 일별 평균 총 비행시간은 같다”는 귀무가설을 기각할 수 있으며, 계절에 따른 일별 평균 총 비행시간의 차이는 통계적으로 유의한 것으로 분석되었다. 또한 하계와 동계의 평균의 차이에 대한 95% 신뢰구간에서 0.53∼3.09시간으로, 구간 전체가 양수에 위치하여 하계가 동계보다 더 많은 비행훈련이 수행된다는 점이 통계적으로도 뒷받침되었다.

3.3 계절별 분포 특성 및 시계열 패턴

하계와 동계의 일별 총 비행시간 분포를 비교한 박스플롯은 Fig. 1과 같다.

Fig. 1과 같이 하계 박스플롯의 중앙값과 사분위 범위, 수염은 동계에 비해 전반적으로 위쪽에 위치하며, 18시간대에 이르는 극단적으로 높은 값도 하계에 관찰되었다.

이는 하계에는 전반적으로 더 많은 비행이 수행될 뿐만 아니라, 특정 일자에 비행이 집중되는 경향도 강하게 나타난다는 점을 시각적으로 보여준다. 반면 동계 박스플롯은 상대적으로 낮은 수준에서 분포하며, 변동 범위 역시 하계보다 다소 좁은 경향을 보였다.

관측 기간 전체에 걸친 일별 총 비행시간의 시계열 변화는 Fig. 2에 제시하였다.

Fig. 2에서 확인할 수 있듯이, 8∼10월 구간에서는 일별 총 비행시간이 10시간을 상회하는 날이 빈번하게 나타나는 반면, 11∼2월 구간에서는 그래프의 전체적인 높이가 눈에 띄게 낮아지는 양상이 관찰되었다. 일부 동계 일자에서는 1∼2시간대에 불과한 날도 관측되어, 기상 악화나 일조시간 부족 등으로 실제 비행훈련 가능량이 크게 제한되는 시기가 존재함을 확인할 수 있었다.

3.4 월별 평균 일별 총 비행시간

Table 3Fig. 3에서 월별 평균 일별 총 비행시간을 산출한 결과를 제시하였는데 7월의 일별 총 비행시간은 약 5.8시간으로 하계 시즌 후반에 비해 상대적으로 낮은 편이었으며, 8월∼10월에는 평균이 11시간 전후까지 상승하여 기간 중 가장 높은 수준을 기록하였다. 특히 9월과 10월에는 평균 일별 총 비행시간이 약 11.7시간 수준으로, 비행훈련이 가장 집중되는 구간을 형성하였다. 반면, 11월∼12월 및 1월∼2월에는 평균 일별 총 비행시간이 7∼8시간 수준으로 감소하여, 여름 후반 구간에 비해 월평균 일별 비행시간이 약 3∼4시간 낮은 수준으로 나타났다. Fig. 3에서는 7월∼10월을 옅은 회색조의 막대로 표현하고, 11월∼2월을 짙은 회색 막대로 구분하여 계절에 따른 월별 평균 일별 비행시간의 차이를 시각적으로 강조하였다. 그림에서 보듯이 하계(특히 8월∼10월) 막대가 동계 막대보다 전반적으로 높게 나타나며, 연중 비행훈련 수행량이 계절에 따라 뚜렷한 비대칭성을 보인다는 점을 확인할 수 있다.

jksaa-34-1-233-g3
Fig. 3. Monthly mean daily total flight time from July to February
Download Original Figure

Ⅳ. 고 찰

본 연구는 국내 민간 자가용 조종사 훈련생의 비행시간을 일별로 집계하여 하계(6월∼10월)와 동계(11월∼2월) 간 일별 총 비행시간의 차이를 비교하였다.

분석 결과, 하계의 일별 총 비행시간 평균(10.34시간)이 동계(8.53시간)보다 약 1.81시간 높았고, 이 차이는 Welch t-검정에서 통계적으로 유의하였다(p=0.006). 또한 분포 비교에서 하계는 중앙값과 사분위 범위가 전반적으로 더 높았으며 동계는 상대적으로 낮은 수준에서 변동 폭이 더 좁은 특성을 나타냈다. 이러한 결과는 “계절에 따른 일조시간 및 기상 조건의 변화가 실제 비행훈련 시간에 반영된다”는 점을 실증적으로 뒷받침한다는 점에서 의미가 있다.

4.1 월별 패턴의 의미

월별 평균 일별 총 비행시간에서 8∼10월이 가장 높고(약 11시간), 11∼2월에 낮아지는(약 7∼8시간) 패턴은 “하계가 동계보다 높다”는 결과를 보다 구체화한다. 특히 7월이 동일한 하계로 분류됨에도 상대적으로 낮게 나타난 점에 비추어 볼 때, 일조시간이 길어도 강수(장마), 저운고, 시정 악화 등 기상 요인이 비행훈련 시간을 제한할 수 있음을 추정할 수 있다.

결과적으로 본 연구의 ‘하계/동계’ 구분은 단지 기상학적 계절을 의미하기보다, 실제 훈련 운영에서 (1) 비행이 상대적으로 용이한 기간(8월∼10월)과 (2) 비행 제약이 상대적으로 큰 기간(11월∼2월)이라는 운영적 계절성의 성격을 갖는다.

또한 박스플롯에서 하계의 상단 꼬리가 관찰된다는 점은, 비행이 가능한 날에는 훈련을 집중적으로 실시한 것을 의미한다. 비행일수가 상대적으로 적은 동계의 경우 일정 압박이 커질 수 있고, 이로 인해 교육 및 정비인력의 피로, 안전보다 무리한 운항으로 이어질 가능성을 예상할 수 있다.

따라서 계절성은 단순히 시간 차이의 문제가 아니라, 안전 및 품질 등 관리 체계 전반과 연결된 이슈로 다뤄질 필요가 있다(Atasoy and Ekici, 2020).

4.2 연구 설계와 해석상의 한계

본 연구는 자가용 조종사 학생들의 실제 비행기록을 활용하여 계절적 차이를 분석했다는 점에서 의미가 있으나 결과 해석과 일반화에는 한계가 존재한다.

첫째, 연구자료가 공항이 아닌 민간기관이 보유한 자체 활주로를 활용한 단일 기관에서 운영하는 비행기 2대의 자료로 분석되었으므로, 다른 지역·공역 환경·기종·기관 운영 규모에서 동일한 패턴이 재현되는지에 대한 확인이 필요하다.

둘째, 연구 기간에 해당하는 8개월 동안 하계(7월∼10월)와 동계(11월∼2월)에 각각 6명의 학생을 교육하였으나, 하계와 동계에 배치된 교육생의 기량 차이로 인한 독립성 가정이 제한될 수 있다.

셋째, 일별 데이터는 시간의 흐름에 따라 일정 패턴(주말 및 평일, 기상에 따른 연속 결항 후 집중 비행 등)이 존재할 수 있어 독립성 가정이 완전히 성립하지 않을 여지가 있다.

따라서 향후에는 요일, 휴일, 월, 교육 일정 등을 공변량으로 포함한 회귀모형(예: 선형회귀/혼합모형)이나 시계열적 접근을 병행함으로써 결과의 견고성을 높일 필요가 있다.

이와 같은 실증분석 결과와 연구의 한계를 토대로 향후 연구에서는 풍부한 운항자료를 확보하여 모집단의 일반화를 도모하고 시정·운고·강수·풍속·기온 등 기상요소 및 일조(또는 가용 운항)와의 상관분석을 함으로써 다양한 조건에 대한 검토가 가능할 것이다. 또한 비행 교육생들의 단계·비행 유형·자원 투입을 반영한 비행시간 예측모형 및 최적화 모형의 설계를 추구한다면 의미있는 연구 결과가 도출될 것으로 사료된다.

Ⅴ. 결 론

본 연구의 분석 결과, 하계로 구분한 7월∼10월의 일별 평균 비행시간은 10.34시간, 동계로 지칭한 11월∼2월은 8.53시간으로, 하루 평균 1.81시간 더 많은 비행훈련이 수행되는 것으로 통계적으로 유의미한 차이를 보였다.

이는 우리나라와 같이 계절에 따른 일조시간 변화가 큰 환경에서 비행훈련을 운영하거나 연간 훈련계획을 수립할 때, 연간 총 비행시간을 기준으로 계획을 세우는 것에 추가하여 계절 및 월별 현실적인 비행훈련 가능시간을 반영한 세부 계획 수립이 필요함을 시사한다. 특히 장마가 종료되고 일조시간이 길어지는 8월∼10월은 비행훈련이 상대적으로 용이한 기간에는 훈련을 집중적으로 배치하고, 착빙이 발생하고 일조시간이 감소하는 11월∼2월과 같이 비행시간이 제한되는 기간에는 이를 보완할 수 있는 이론 교육, 시뮬레이터 교육을 적절히 조절하는 전략이 필요하다.

또한, 향후 본 연구를 기반으로 다양한 지역 및 교육기관과 기종을 포함한 다기관 자료를 활용하여 계절성의 일반화를 검토하고, 기상요소(시정, 구름, 강수, 온도 등)와의 정량적 연계를 통해 비행교육기관들에 대한 비행훈련 가능 시간 예측모델을 개발한다면 교육시간 예측을 기반으로 한 효율적인 비행방향을 제시할 수 있을 것이다.

References

1.

Dubena, R., and Thomas, R. L., "Time and cost to complete instrument training based on flight block times", Collegiate Aviation Review International, 42(1), 2024, pp.203-217.

2.

Atasoy, V. E., and Ekici, S., "Exploring experiential indicators in flight training organization: A case study", Aircraft Engineering And Aerospace Technology, 92(4), 2020, pp.541-549.

3.

Fultz, A. J., and Ashley, W. S., "Fatal weather-related general aviation accidents in the united states", Physical Geography, 37(5), 2016, pp.291-312.

4.

Knecht, W. R., and Lenz, M., "Causes of general aviation weather-related, non-fatal incidents: Analysis using NASA aviation safety reporting system (ASRS) data (dot/faa/ am-10/ 13)", Federal Aviation Administration, Office Of Aerospace Medicine, 2010. Available from: https://www.faa.gov/sites/faa.gov/files/data_research/research/med_humanfacs/oamtechreports/201013.pdf

5.

National Transportation Safety Board, "Risk factors associated with weather-related general aviation accidents (safety study ntsb/ ss-05/01)", 2005. Available from: https://www.ntsb.gov/safety/safety-studies/Documents/SS0501.pdf

6.

Tatli, A., Kahvecioglu, S., and Karakoc, T. H., "Time-series prediction for amount of airworthiness based on time-delay neural networks", Elektronika Ir Elektrotechnika, 26(5), 2020, pp.28-32.

7.

Tatli, A., Bocu, E., Filik, T., and Karakoc, T. H., "A case study on the effect of meteorological events on the efficiency of flight training organization", Aircraft Engineering And Aerospace Technology, 94(7), 2022, pp.1109-1116.

8.

Winter, S. R., Rice, S., Capps, J., Trombley, J., Milner, M. N., Anania, E. C., Walters, N. W., and Baugh, B. S., "An analysis of a pilot’s adherence to their personal weather minimums", Safety Science, 123, 2020, pp.104576.

9.

Forsythe, W. C., Rykiel, E. J., Stahl, R. S., Wu, H., and Schoolfield, R. M., "A model comparison for daylength as a function of latitude and day of year", Ecological Modelling, 80(1), 1995, pp.87-95.

10.

Tatli, A., Bocu, E., Filik, T., and Karakoc, T. H., "A case study on the effect of meteorological events on the efficiency of flight training organization", Aircraft Engineering And Aerospace Technology, 94(7), 2022, pp.1109-1116.

11.

Aydin, E., Isilak, C., Suzer, A. E., and Atasoy, V. E., "Serviceability analysis of training aircraft subject to maintenance operations in a flight training organisation: A case study", International Journal of Sustainable Aviation, 7(1), 2021, pp.93-112.

12.

Kilic, B., "Fatigue among student pilots", Aerospace Medicine and Human Performance, 92(1), 2021, pp.20-24.

13.

Jeon, S. J., Jung, Y. S., and Kim, K. E., "A study on the influence of flight trainees’ stress on flight immersion and abandonment", Journal of The Korean Society For Aviation And Aeronautics, 30(4), 2022, pp.191-198.

14.

Kılıç, B., "Hfacs analysis for investigating human errors in flight training accidents", Journal of Aviation, 3(1), 2019, pp.28-37.

15.

Hong, S. J., Lee, K. S., Seol, E. S., and Young, S., "Safety perceptions of training pilots based on training institution and experience", Journal of Air Transport Management, 55, 2016, pp.213-221.